Delving into the World of Cyclic Peptides: Harnessing the Power of Circular Molecules for Innovative Therapeutic Solutions

gracie.chia

Editor: Gracie Chia

Cyclic Peptides: Shaping the Future of Disease Treatment

Up to 2022, more than 60 peptide drugs have been approved by the FDA/EMA to cure diseases such as diabetes, infections, cancer, chronic pain, and so on. Cyclic peptides are polypeptide chains composed of canonical and non-canonical amino acids that are connected at distant positions to form macrocyclic structures. Compared to linear peptides, cyclic peptides have more stable spatial conformation and in vivo stability. To produce cyclic peptides from linear peptides, various chemical bonds could be applied, such as thioether, disulfide, lactam, ring-closing metathesis, lactone, etc. (Figure 1). Different cyclization methods may have different applications in drug development. For example, staple peptides are usually used to stabilize α-helix conformation with hydrocarbon linkers to improve cell permeability or in vivo stability. Bicyclic peptides have larger interaction surfaces and better tolerance to proteolysis.

Figure 1 Types of cyclization

Advantages and Challenges: The Role of Cyclic Peptides in Modern Pharmacotherapy

Compared to small molecules and biologics, peptides have remarkable advantages, such as selectivity and low toxicity. Although the advantages of peptide drugs are obvious, they also have limitations, including low oral bioavailability, low plasma stability, and short circulation time. Due to the rigid conformations, the cyclic structure of peptides offers improved capabilities, such as high binding affinity and specificity, proteolytic stability, and in some cases, improved membrane permeation.

These advantages make cyclic peptides attractive candidates for oral drug development. For example, proprotein convertase subtilisin-like/kexin type 9 (PCSK9) is a key regulator of plasma LDL-cholesterol and as such is an important target for treating high LDL levels and subsequent coronary artery disease. Although several antibody-based anti-PCSK9 therapeutics have been approved by the FDA and have shown excellent clinical efficacy for lowering LDL levels and preventing adverse cardiovascular events, no efficacious oral dose anti-PCSK9 therapy has been approved. A cyclic peptide in phase III, MK 0616, was obtained with overall profiles favorable for potential development as a once-daily oral lipid-lowering agents through inhibiting PCSK9 activity. MK 0616 has a large bicycle peptide structure that makes it have sufficient area to bind to binding sites on PCSK9 and at the same time, has good metabolic stability.

Cyclic Peptides in Drug Development: Tackling Protein-Protein Interactions and Oral Delivery

What’s more, the formation of larger interaction surfaces in cyclic peptides allows for more effective intervention in protein-protein interactions (PPIs), further enhancing the potency of the peptide chain as a therapeutic agent. As we all know, intracellular protein-protein interactions are challenging targets for conventional drug modalities, because small molecules are usually difficult to bind to their large, flat binding sites with high affinity, whereas monoclonal antibodies cannot cross the cell membrane to reach the targets. Cyclic peptides with a molecular-weight range of 700-2000 have sufficient size and a balanced conformational flexibility/rigidity for binding to flat PPI interfaces with antibody-like affinity and specificity. Up to 2022, more than two-thirds of approved peptide drugs are in the cyclic form (Table 1).

Table 1

Innovative Applications: Cyclic Peptides in Antimicrobial and Oncology Therapeutics

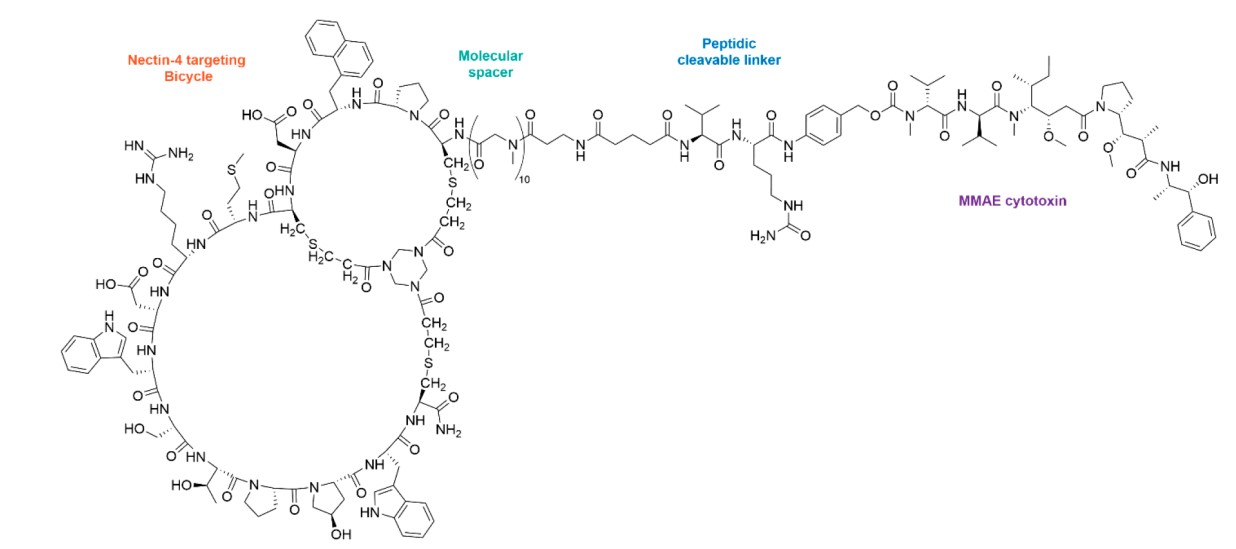
In recent years, cyclic peptides have been explored to have various activities, including antimicrobial, antiviral, anti-inflammatory, anti-tumor, anti-aging, and antioxidant properties. Due to the satisfied efficacy of antibody-drug conjugation (ADC) drugs in clinical treatment, peptide drug conjugation (PDC) technology in the field of oncology was enthusiastically studied. BT8009 is a good example (Figure 2). This molecule is composed of Nectin-4 targeting Bicycle®, a valine-citrulline, or val-cit, cleavable linker, and an MMAE cytotoxic payload. It is now in a phase 2/3 study as monotherapy or combination in participants with locally advanced or metastatic urothelial cancer and phase I/II study in patients with Nectin-4 expressing advanced malignancies.

Figure 2, The Structure of BT8009, retrieved without modification from Mudd, Gemma E et al. (2022),DOI:10.1021/acs.jmedchem.2c00065ies.

Library Screening: The Genesis of Cyclic Peptide Breakthroughs

A large portion of FDA-approved cyclic peptide drugs derive from natural compounds or endogenous active substances found in the body. For example, Romidepsin, a cyclic peptide drug that targets intracellular protein, is a natural bicyclic peptide obtained from the bacterium Chromobacterium violaceum in 1994 and approved by the FDA in 2009 for cutaneous T-cell lymphoma.

Library screening is another important source of drug discovery. Many promising candidates, such as BT-8009 in Phase II/III as a treatment for metastatic urothelial cancer; MK-0616, an oral PCSK9 inhibitor for hypercholesterolemia treatment in Phase III; JNJ-2113, the first and only investigational targeted oral peptide designed to block the IL-23 receptor in phase III. Zilucoplan (Fig.3) was approved as an orphan drug by the FDA in 2023 through mRNA display technology by UCB. It is the first once-daily subcutaneous (SC), a targeted peptide inhibitor of complement component 5 (C5 inhibitor)2. It is the only once-daily gMG target therapy for self-administration by adult patients with anti-AChR antibody-positive gMG.

Figure 3. The structure of Zilucoplan

Summary and Outlook: Overcoming Obstacles in Cyclic Peptide Drug Development

Although great research progress of cyclic peptide has been made in recent decades, several important challenges remain, such as oral availability and cell permeability. Many approaches were developed to solve these problems. For example, backbone N-methylation has been a useful tool for manipulating the permeability of cyclic peptides/peptidomimetics. Also, the incorporation of D-amino acids is a common strategy used to improve the drug-like properties of peptides. Because inverting the stereochemistry from L to D could increase the membrane permeability of cyclic peptides. The fast development of various screening platforms and tools of cyclic peptides is another significant factor that could boost the discovery of promising cyclic peptide candidates.

Visit Cyclic Peptide Synthesis Service for more info.

Additional resources available for FREE

References

  • 1. Muttenthaler, M., King, G.F., Adams, D.J., & Alewood, P.F. (2021). Trends in peptide drug discovery. Nature Reviews Drug Discovery, 20, 309–325. DOI: 10.1038/s41573-020-00135-8
  • 2. Ji, X., Nielsen, A.L., & Heinis, C. (2024). Cyclic Peptides for Drug Development. Angewandte Chemie International Edition, 63, e202308251. DOI: 10.1002/anie.202308251
  • 3. The What, Why and How of Cyclic Peptides. (n.d.). Retrieved from Scientist.com (nih.gov)
  • 4. Bicycle Therapeutics Pipeline. (n.d.). Retrieved from Bicycle Therapeutics Pipeline
  • 5. New Data Shows JNJ-2113, the First and Only Investigational Targeted Oral Peptide, Maintained Skin Clearance in Moderate to Severe Plaque Psoriasis Through One Year. (n.d.). Retrieved from Johnson & Johnson Press Releases
  • 6. UCB announces US FDA approval of ZILBRYSQR (zilucoplan) for the treatment of adults with generalized myasthenia gravis. (n.d.). Retrieved from UCB Stories & Media
  • 7. Study BT8009-100 in Subjects With Nectin-4 Expressing Advanced Malignancies. (n.d.). Retrieved from ClinicalTrials.gov
  • 8. Qian, Z., Dougherty, P.G., & Pei, D. (2017). Targeting intracellular protein-protein interactions with cell-permeable cyclic peptides. Current Opinion in Chemical Biology, 38, 80-86. DOI: 10.1016/j.cbpa.2017.03.011
  • 9. Buckton, L.K., Rahimi, M.N., & McAlpine, S.R. (2021). Cyclic Peptides as Drugs for Intracellular Targets: The Next Frontier in Peptide Therapeutic Development. Chemistry, 27(5), 1487-1513. DOI: 10.1002/chem.201905385
  • 10. Mudd, G.E., Scott, H., Chen, L., van Rietschoten, K., Ivanova-Berndt, G., Dzionek, K., Brown, A., Watcham, S.M., White, L., Park, P.U., Jeffrey, P., Rigby, M., & Beswick, P.J. (2022). Discovery of BT8009: A Nectin-4 Targeting Bicycle Toxin Conjugate for the Treatment of Cancer. Journal of Medicinal Chemistry, 65, 14337 - 14347.

Do you find this article helpful?

Subscribe to have the latest weekly scientific insights delivery to your inbox!

* We'll never share your email address with a third-party.